招生信息

首页    研究生培养    招生信息    正文

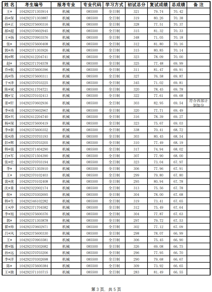
PP电子游戏网站2022年硕士研究生一志愿复试考生成绩表

发布人:机汽学院时间:2022-03-31浏览:


上一页 [1] [2] [3] [4] [5] 下一页